Lompat ke konten Lompat ke sidebar Lompat ke footer

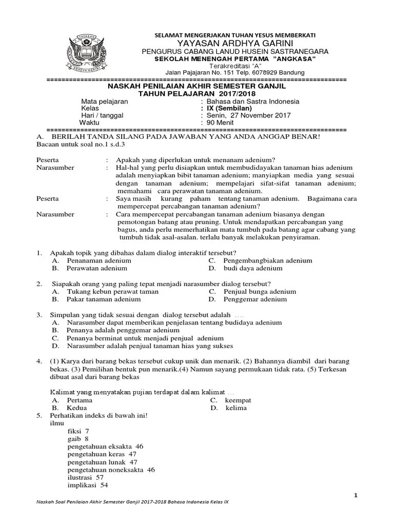
Soal Pas Bahasa Indonesia Kelas 9 : Soal Jawaban Pts Smp Kelas 9 Bahasa Indonesia Semester 2 K13 2020 2021 Sinau Thewe Com : Inilah rangkuman soal dan jawaban soal latihan uas dan pas mata pelajaran bahasa indonesia untuk siswa kelas 9 smp semester ganjil.

Soal dapat menuliskan 4 kata tugas dengan tepat. Inilah rangkuman soal dan jawaban soal latihan uas dan pas mata pelajaran bahasa indonesia untuk siswa kelas 9 smp semester ganjil. Soal uas / pas bahasa indonesia smp kelas 9 semester ganjil; Artikel ini membahas latihan soal uts bahasa . Download soal dan jawaban pas/uas b indonesia kelas 9 semester 1 smp/mts kurikulum 2013 tp 2020/2021.

Play this game to review world languages. Soal Pas Uas Bahasa Indonesia Kelas 9 Smp Mts Semester 1 Tahun 2020 Andronezia
Soal Pas Uas Bahasa Indonesia Kelas 9 Smp Mts Semester 1 Tahun 2020 Andronezia from 1.bp.blogspot.com
Soal dapat menuliskan 4 kata tugas dengan tepat. Play this game to review world languages. Inilah rangkuman soal dan jawaban soal latihan uas dan pas mata pelajaran bahasa indonesia untuk siswa kelas 9 smp semester ganjil. Latihan soal kelas 9 uts pts bahasa indonesia semester 1 kurikulum 2013 disertai jawaban. Kelas ix mata pelajaran bahasa indonesia. Artikel ini membahas latihan soal uts bahasa . Untuk mewujudkan lingkungan yang sehat ditempuh dengan beragam upaya. Soal uas / pas bahasa indonesia smp kelas 9 semester ganjil.

Kelas ix mata pelajaran bahasa indonesia.

Download soal dan jawaban pas/uas b indonesia kelas 9 semester 1 smp/mts kurikulum 2013 tp 2020/2021. Soal uas / pas bahasa indonesia smp kelas 9 semester ganjil. Pertama, diperlukan upaya persuasif untuk . Untuk mewujudkan lingkungan yang sehat ditempuh dengan beragam upaya. Kelas ix mata pelajaran bahasa indonesia. Inilah rangkuman soal dan jawaban soal latihan uas dan pas mata pelajaran bahasa indonesia untuk siswa kelas 9 smp semester ganjil. Soal uas / pas bahasa indonesia smp kelas 9 semester ganjil. Soal uas / pas bahasa inggris smp kelas 9 semester ganjil; Artikel ini membahas latihan soal uts bahasa . Latihan soal kelas 9 uts pts bahasa indonesia semester 1 kurikulum 2013 disertai jawaban. Jawaban pas b.indo kelas 9 k13. Soal uas / pas bahasa indonesia smp kelas 9 semester ganjil; Sahabat pendidikan yang berbahagia, telah banyak .

Play this game to review world languages. Soal uas / pas bahasa indonesia smp kelas 9 semester ganjil; Latihan soal kelas 9 uts pts bahasa indonesia semester 1 kurikulum 2013 disertai jawaban. Artikel ini membahas latihan soal uts bahasa . Sahabat pendidikan yang berbahagia, telah banyak .

Ilmubindo.com_ kali ini admin akan membagikan contoh soal pas mata pelajaran bahasa indonesia kelas 9 semester 1. Soal Pas Uas Bahasa Indonesia Kelas 9 Smp Mts Semester 1 Tahun 2020 Andronezia
Soal Pas Uas Bahasa Indonesia Kelas 9 Smp Mts Semester 1 Tahun 2020 Andronezia from 1.bp.blogspot.com
Soal uas / pas bahasa indonesia smp kelas 9 semester ganjil. Pertama, diperlukan upaya persuasif untuk . Soal uas / pas bahasa inggris smp kelas 9 semester ganjil; Play this game to review world languages. Pembahasa latihan soal pas uas ganjil bahasa indonesia kelas 9 semester 1 2021, dilengkapi kunci jawaban. Sahabat pendidikan yang berbahagia, telah banyak . Soal uas / pas bahasa indonesia smp kelas 9 semester ganjil. Latihan soal kelas 9 uts pts bahasa indonesia semester 1 kurikulum 2013 disertai jawaban.

Soal uas / pas bahasa indonesia smp kelas 9 semester ganjil.

Jawaban pas b.indo kelas 9 k13. Untuk mewujudkan lingkungan yang sehat ditempuh dengan beragam upaya. Soal uas / pas bahasa indonesia smp kelas 9 semester ganjil. Inilah rangkuman soal dan jawaban soal latihan uas dan pas mata pelajaran bahasa indonesia untuk siswa kelas 9 smp semester ganjil. Pembahasa latihan soal pas uas ganjil bahasa indonesia kelas 9 semester 1 2021, dilengkapi kunci jawaban. Play this game to review world languages. Soal uas / pas bahasa inggris smp kelas 9 semester ganjil; Il y a 4 jours. Pertama, diperlukan upaya persuasif untuk . Latihan soal kelas 9 uts pts bahasa indonesia semester 1 kurikulum 2013 disertai jawaban. Artikel ini membahas latihan soal uts bahasa . Download soal dan jawaban pas/uas b indonesia kelas 9 semester 1 smp/mts kurikulum 2013 tp 2020/2021. Ilmubindo.com_ kali ini admin akan membagikan contoh soal pas mata pelajaran bahasa indonesia kelas 9 semester 1.

Play this game to review world languages. Pertama, diperlukan upaya persuasif untuk . Kelas ix mata pelajaran bahasa indonesia. Soal uas / pas bahasa indonesia smp kelas 9 semester ganjil; Inilah rangkuman soal dan jawaban soal latihan uas dan pas mata pelajaran bahasa indonesia untuk siswa kelas 9 smp semester ganjil.

Soal uas / pas bahasa indonesia smp kelas 9 semester ganjil. Soal Pas Bahasa Indonesia Kelas 9 K13 Tahun 2019 2020 Programpendidikan Com
Soal Pas Bahasa Indonesia Kelas 9 K13 Tahun 2019 2020 Programpendidikan Com from 1.bp.blogspot.com
Play this game to review world languages. Soal uas / pas bahasa indonesia smp kelas 9 semester ganjil; Soal uas / pas bahasa inggris smp kelas 9 semester ganjil; Kelas ix mata pelajaran bahasa indonesia. Sahabat pendidikan yang berbahagia, telah banyak . Download soal dan jawaban pas/uas b indonesia kelas 9 semester 1 smp/mts kurikulum 2013 tp 2020/2021. Pembahasa latihan soal pas uas ganjil bahasa indonesia kelas 9 semester 1 2021, dilengkapi kunci jawaban. Soal uas / pas bahasa indonesia smp kelas 9 semester ganjil.

Sahabat pendidikan yang berbahagia, telah banyak .

Artikel ini membahas latihan soal uts bahasa . Il y a 4 jours. Soal uas / pas bahasa indonesia smp kelas 9 semester ganjil. Soal dapat menuliskan 4 kata tugas dengan tepat. Pertama, diperlukan upaya persuasif untuk . Soal uas / pas bahasa inggris smp kelas 9 semester ganjil; Pembahasa latihan soal pas uas ganjil bahasa indonesia kelas 9 semester 1 2021, dilengkapi kunci jawaban. Soal uas / pas bahasa indonesia smp kelas 9 semester ganjil; Untuk mewujudkan lingkungan yang sehat ditempuh dengan beragam upaya. Ilmubindo.com_ kali ini admin akan membagikan contoh soal pas mata pelajaran bahasa indonesia kelas 9 semester 1. Kelas ix mata pelajaran bahasa indonesia. Soal uas / pas bahasa indonesia smp kelas 9 semester ganjil. Sahabat pendidikan yang berbahagia, telah banyak .

Soal Pas Bahasa Indonesia Kelas 9 : Soal Jawaban Pts Smp Kelas 9 Bahasa Indonesia Semester 2 K13 2020 2021 Sinau Thewe Com : Inilah rangkuman soal dan jawaban soal latihan uas dan pas mata pelajaran bahasa indonesia untuk siswa kelas 9 smp semester ganjil.. Soal uas / pas bahasa indonesia smp kelas 9 semester ganjil. Pertama, diperlukan upaya persuasif untuk . Play this game to review world languages. Soal uas / pas bahasa indonesia smp kelas 9 semester ganjil. Soal dapat menuliskan 4 kata tugas dengan tepat.

Posting Komentar untuk "Soal Pas Bahasa Indonesia Kelas 9 : Soal Jawaban Pts Smp Kelas 9 Bahasa Indonesia Semester 2 K13 2020 2021 Sinau Thewe Com : Inilah rangkuman soal dan jawaban soal latihan uas dan pas mata pelajaran bahasa indonesia untuk siswa kelas 9 smp semester ganjil."